In this blog, you will get the Electrical Engineering 4th Semester 2025 Question Papers PDFs of the WBSCTE Board. Welcome to Poly Notes Hub, a leading destination for diploma or polytechnic engineering notes.
Author Name: Arun Paul.
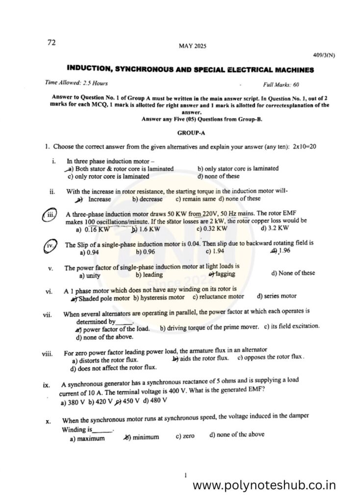
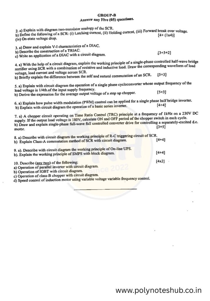
Screenshots of EE 4th Sem 2025 Question Papers PDFs



Electrical Engineering 4th Semester 2025 Question Papers PDFs | WBSCTE Board
Here we have listed the PDFs of the PYQ papers of 2025 for different subjects in the 4th Semester of EE of the WBSCTE Board. Click on the link to download the PDF of each subject.
- Download Power Electronics Converters and Application 2025 Question Paper PDF
- Download Electric Power Transmission and Distribution 2025 Question Paper PDF
- Download Induction, Synchronous and Special Electrical Machines 2025 Question Paper PDF
- Download Renewable Energy Power Plants 2025 Question Paper PDF
- Download Switchgear and Protection 2025 Question Paper PDF
