In this note, we are going to learn about the Block Diagram of Zero Crossing Detector for FM Demodulation. Welcome to Poly Notes Hub, a leading destination for polytechnic engineering and b-tech engineering notes.
Author Name: Arun Paul.
What is Zero Crossing Detector for FM Demodulation?
A Zero Crossing Detector (ZCD) is a simple and effective method for FM (Frequency Modulation) demodulation, which involves recovering the original modulating (baseband) signal from a frequency-modulated wave.
Advantages of Zero Crossing Detector or ZCD
- Simple and low-cost circuit.
- Good noise immunity due to limiter stage.
- Easy to implement using comparators and operational amplifiers.
Disadvantages of Zero Crossing Detector or ZCD
- Not very accurate for high-frequency deviation FM signals.
- Requires a clean, noise-free signal (limiter is essential).
- Linearity is limited compared to other demodulators like Phase-Locked Loop (PLL).
Block Diagram of Zero Crossing Detector in FM Demodulation
FM demodulation with a zero crossing detector translates frequency variations in an FM transmission into voltage changes. Using the block diagram, it detects zero crossings, generates pulses, and successfully reproduces the original modulating signal after integration.

- Limiter: Removes amplitude variations (noise), ensuring that only frequency variations remain.
- Zero Crossing Detector (Pulse Generator): Converts each zero crossing of the FM wave into a pulse — more zero crossings per unit time = higher frequency.
- Integrator (Low-pass filter): Converts the pulse train (frequency proportional) into a voltage signal representing the original message.
Zero Crossing Detector or ZCD Operation
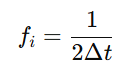
The zero crossing detector operation on the principle that the instantaneous frequency of an FM wave is approximately given by –


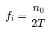
Where Δt is the time difference between the adjacent zero crossover points of the FM wave, as shown in the figure. The time T (t = T) is chosen such that it satisfies the following two conditions –
- T should be small compared to (1/W) wheel, W is the bandwidth of the message signal.
- T should be large compared to (1/fc) where fc is the carrier frequency of the FM Signal.
Let the number of zero crossing points in time T be denoted by n₀. Hence, the time between two adjacent zero crossing points is given by –

Therefore, the instantaneous frequency is given by –

By definition, the instantaneous frequency, we know there is a linear relation between fᵢ and the message signal. Hence, we can recover x(t) if n₀ is known. This can be achieved using a zero-crossing detector.
